Vesselness¶
-
MLModule
¶ genre Filters
author Ola Friman
package FMEstable/ReleaseMeVis
dll MLGaussFiltersStable
definition MLGaussFiltersStable.def see also GaussHessian
,itkHessian3DToVesselnessMeasureImageFilter
,TensorToEigensystem
keywords vesselness
,lineness
,structure
,Hessian
,prolate
,tensor
,eigenvalue
Purpose¶
The module Vesselness
calculates a multi-scale vesselness measure, i.e., each voxel in the output volume indicates how similar the local structure is to a tube.
Details¶
The vesselness measure is calculated as a function of the Hessian matrix. Specifically, the eigenvalues λ1 > λ2 > λ3 describe the local neighborhood.
Assuming that we want to detect bright vessels on a dark background, the eigenvalues must have the following relation: λ1 ≈ 0 and 0 >> λ2 ≈ λ3. A vesselness function f(λ1, λ2, λ3) measures how well this condition is fulfilled. Sato et al. uses the following function:
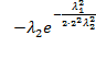
f(λ1, λ2, λ3) = 0 if λ2 ≥ 0,

if λ2 < 0 and λ1 < 0,

if λ2 < 0 and λ1 > 0.
This measure is also calculated by the ITK module itkHessian3DToVesselnessMeasureImageFilter
. The same formula can be used for calculating a 2D vesselness measure. Note that the Sato et al. measure is dependent on the line contrast through the multiplication of λ2. To normalize the vesselness measure across scale, the actual output is scaled with σ2, where σ is the width of the Gaussian function used for calculating the Hessian matrix. For more information on the scaling and the calculation of the Hessian, see the help for the GaussHessian
module.
An additional normalized vesselness measure is available for 2D and 3D as follows:
2D:

where B(x;4,4) is the incomplete Beta function with parameters 4 and 4.
3D:

As only ratios of eigenvalues are used to calculate the normalized vesselness measure, it is contrast independent with a range between 0 and 1. The vesselness measure can be calculated over several scales. The maximum vesselness over the scales is then given as output.
Input Fields¶
Output Fields¶
Parameter Fields¶
Field Index¶
2D calculation : Bool |
Use normalized measure : Bool |
Auto update : Bool |
|
Dark vessels : Bool |
|
Lower Sigma : Double |
|
Number Of Scales : Integer |
|
Sigma Unit : Enum |
|
Update : Trigger |
|
Upper Sigma : Double |
Visible Fields¶
Lower Sigma¶
-
name:
startSigma
, type:
Double
, default:
1
¶ Sets the finest scale. Sigma refers to the Gaussian filters used for estimating the Hessian matrix.
Upper Sigma¶
-
name:
endSigma
, type:
Double
, default:
2
¶ Sets the coarsest scale. Sigma refers to the Gaussian filters used for estimating the Hessian matrix.
Number Of Scales¶
-
name:
nbrOfScales
, type:
Integer
, default:
1
¶ Sets the number of scales used for calculating the vesselness.
The sigmas for the scales are evenly distributed between the lower and upper sigmas.
Sigma Unit¶
-
name:
unit
, type:
Enum
, default:
voxel
¶ Defines the unit for sigma.
Values:
Title | Name |
---|---|
voxel | voxel |
mm | mm |
2D calculation¶
-
name:
calc2D
, type:
Bool
, default:
FALSE
¶ If checked, the module computes the vesselness only on 2D slices (x/y plane).
Use normalized measure¶
-
name:
normalizedMeasure
, type:
Bool
, default:
FALSE
¶ If checked, the normalized vesselness measure is used, otherwise the Sato et al. measure is used.
Dark vessels¶
-
name:
darkVessels
, type:
Bool
, default:
FALSE
¶ If checked, the vessels are assumed dark on a brighter background.
Otherwise, the vessels are assumed bright on a dark background.