TensorShapeExtract

MLModule

genre

DTIImageProcessing

authors

Mathias Schlüter, Jan Klein

package

FMEwork/Release

dll

MLDTIStable

definition

MLDTIStable.def

see also

DiffusionTensorAnalysis

keywords

DTI, vector, tensor

Purpose

The module TensorShapeExtract extracts special shapes from DTI vector or tensor images.

Details

When a tensor image is provided as input, the module assumes that the first three values in the u dimension correspond to the first eigenvector v1, the next three values to v2, and the latter three to v3. The module expects, that the length of those vectors equals the eigenvalues l1, l2, l3. As DTI tensor is positive-semidefinite the module clips the eigenvalues such that 1 >= l1 >= l2 >= l3.

When a vector image is provided as input the module outputs the vector’s length independently of the selected mode.

The module internally, before any other calculation is done, maps all input values to [-1, 1] range using the following equation x * f + o, where x is the value to be mapped, f = 2/(InputImageMaxVal - InputImageMinVal) and o = -InputImageMinVal * f - 1.

If, after mapping step, a vector has length exceeding 1.2, the input vector or tensor to which this vector belongs, is assumed to be invalid and minimum input image voxel value is written on this voxel position to the output image.

The shapes set via Shape Mode are calculated using clipped eigenvalues and are clamped such that the shape is within [0, 1] range.

The calculated values are mapped back at the end using the equation y * f + o, where y is the value to be mapped back and:
  • when y of scalar type, f = InputImageMaxVal - InputImageMinVal and o = InputImageMinVal.

  • when y is a vector component, f = 0.5 * (InputImageMaxVal - InputImageMinVal) and o = f + InputImageMinVal.

Windows

Default Panel

../../../Modules/ML/MLDiffusionMRI/MLDTIStable/mhelp/Images/Screenshots/TensorShapeExtract._default.png

Input Fields

input0

name: input0, type: Image

DTI vector or tensor image.

Output Fields

output0

name: output0, type: Image

Parameter Fields

Visible Fields

Shape Mode

name: shapeMode, type: Enum, default: FractionalAnisotropy

Defines the mode of shape extraction.

../../../Modules/ML/MLDiffusionMRI/MLDTIStable/mhelp/Images/MeanLambda.png

Values:

Title

Name

Description

Strength

Strength

Calculates the trace of the tensor.

../../../Modules/ML/MLDiffusionMRI/MLDTIStable/mhelp/Images/Strenght.png

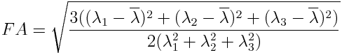
Fractional Anisotropy

FractionalAnisotropy

Calculates the fractional anisotropy of the tensor. Range of return value: [0,1] (0: isotropic, 1: anisotropic).

../../../Modules/ML/MLDiffusionMRI/MLDTIStable/mhelp/Images/FractionalAnisotropy.png

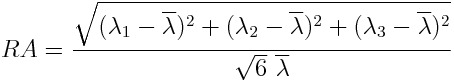
Relative Anisotropy

RelativeAnisotropy

Calculates the normalized relative anisotropy of the tensor. Range of return value: [0,1] (0: isotropic, 1: anisotropic).

../../../Modules/ML/MLDiffusionMRI/MLDTIStable/mhelp/Images/RelationalAnisotropy.png

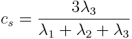
Volume Fraction

VolumeFraction

Calculates the “remaining volume ratio” of the tensor. That means 1 - VolumeOfElipsoid/VolumeOfMeanSphere. Range of return value: [0,1] (0: isotropic, 1: anisotropic).

../../../Modules/ML/MLDiffusionMRI/MLDTIStable/mhelp/Images/VolumeFraction.png

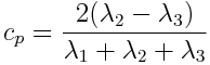
Linear

Linear

Calculates the barycentric linear weight for the tensor. Range of return value: [0,1] (0: isotropic, 1: anisotropic).

../../../Modules/ML/MLDiffusionMRI/MLDTIStable/mhelp/Images/Linear.png

Planar

Planar

Calculates the barycentric planar weight for the tensor. Range of return value: [0,1] (0: 2d-isotropic, 1: 2d-anisotropic).

../../../Modules/ML/MLDiffusionMRI/MLDTIStable/mhelp/Images/Planar.png

Spherical

Spherical

Calculates the barycentric spheric weight for the tensor. Range of return value: [0,1] (1: isotropic, 0: anisotropic).

../../../Modules/ML/MLDiffusionMRI/MLDTIStable/mhelp/Images/Spherical.png

Linear Planar

LinearPlanar

Calculates the barycentric linear plus half planar weight for the tensor. Range of return value: [0,1] (0: isotropic, 1: anisotropic).

../../../Modules/ML/MLDiffusionMRI/MLDTIStable/mhelp/Images/LinearPlanar.png

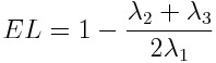
Elongation

Elongation

Calculates the elongation 1-(ev_2+…+ev_n)/(ev_1*(n-1)) for the tensor. Range of return value: [0,1] (0: isotropic, 1: anisotropic).

../../../Modules/ML/MLDiffusionMRI/MLDTIStable/mhelp/Images/Elongation.png

Direction Jitter

DirectionJitter

Calculates the orientation uncertainty for the tensor given some image noise. Range of return value: [0, 1] (0: anisotropic, 1: isotropic). For more info about used formule see paper: M.Schlüter et al. “White Matter Lesion Phantom for Diffusion Tensor Data and Its Application to the Assessment of Fiber Tracking”.

Output Mode

name: outputMode, type: Enum, default: Shapes

Defines the shape of the output.

Values:

Title

Name

Description

Shapes

Shapes

Calculates selected shape.

All Eigenvalues

AllEigenvalues

Outputs eigenvalues.

Linear Planar Spherical

LinearPlanarSpherical

For each tensor calculates the following vector (s_M - value of selected shape mode):

../../../Modules/ML/MLDiffusionMRI/MLDTIStable/mhelp/Images/LinearPlanarSpherical.png

Main Vector

MainVector

Outputs the first input vector.

Use main vector scaling

name: useMainVecScaling, type: Bool, default: TRUE

If checked, the main vector is scaled by the calculated shape.

Parameter

name: parameter, type: Double, default: 3
This parameter is used only to calculate Strength and Direction Jitter shape parameters.
  • Strength: the shape result is divided by the parameter value.

  • Direction Jitter: the parameter is interpreted as noise.